机器学习数学知识补习——梯度下降(Gradient Descent)
导数导数与微分:图中的Δy、dy等符号的意义及关系如下:Δx:x的变化量;dx:x的变化量ΔxΔxΔx趋于0时,则记作微元dxdxdx;Δy:Δy=f(x0+Δx)−f(x0)Δy=f(x0+Δx)-f(x0)Δy=f(x0+Δx)−f(x0),是函数的增量;dy:dy=f′(x0)dxdy=f'(x0)dxdy=f′(x0)dx,是切线的增量;当Δx→0时,dy与Δy都是...
导数
导数与微分:
图中的Δy、dy等符号的意义及关系如下:
- Δx:x的变化量;
- dx:x的变化量ΔxΔxΔx趋于0时,则记作微元dxdxdx;
- Δy:Δy=f(x0+Δx)−f(x0)Δy=f(x0+Δx)-f(x0)Δy=f(x0+Δx)−f(x0),是函数的增量;
- dy:dy=f′(x0)dxdy=f'(x0)dxdy=f′(x0)dx,是切线的增量;
- 当Δx→0时,dy与Δy都是无穷小,dy是Δy的主部,即Δy=dy+o(Δx)Δy=dy+o(Δx)Δy=dy+o(Δx).
导数定义如下:
反映的是函数f(x)f(x)f(x)在x轴上某一点处沿着x轴正方向的变化率/变化趋势。
导数和偏导数
偏导数的定义如下:
可以看到,导数与偏导数本质是一致的,都是当自变量的变化量趋于0时,函数值的变化量与自变量变化量比值的极限。直观地说,偏导数也就是函数在某一点上沿坐标轴正方向的的变化率。
区别在于:
- 导数,指的是一元函数中,函数y=f(x)y=f(x)y=f(x)在某一点处沿x轴正方向的变化率;
- 偏导数,指的是多元函数中,函数y=f(x1,x2,…,xn)y=f(x_1,x_2,…,x_n)y=f(x1,x2,…,xn)在某一点处沿某一坐标轴(x1,x2,…,xn)(x_1,x_2,…,x_n)(x1,x2,…,xn)正方向的变化率。
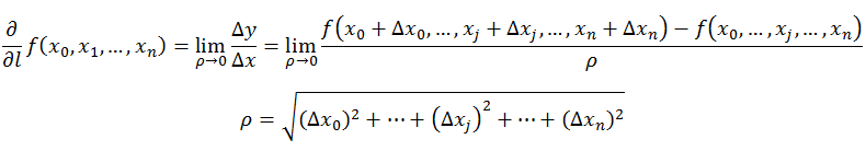
导数与方向导数
方向导数的定义如下:
在前面导数和偏导数的定义中,均是沿坐标轴正方向讨论函数的变化率。那么当我们讨论函数沿任意方向的变化率时,也就引出了方向导数的定义,即:某一点在某一趋近方向上的导数值。
通俗的解释是:
我们不仅要知道函数在坐标轴正方向上的变化率(即偏导数),而且还要设法求得函数在其他特定方向上的变化率。而方向导数就是函数在其他特定方向上的变化率。
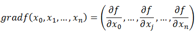
导数与梯度
梯度的定义如下:

梯度的提出只为回答一个问题:
函数在变量空间的某一点处,沿着哪一个方向有最大的变化率?
梯度定义如下:
函数在某一点的梯度是这样一个向量,它的方向与取得最大方向导数的方向一致,而它的模为方向导数的最大值。
这里注意三点:
- 梯度是一个向量,即有方向有大小;
- 梯度的方向是最大方向导数的方向;
- 梯度的值是最大方向导数的值。
导数与向量
提问:导数与偏导数与方向导数是向量么?
向量的定义是有方向(direction)有大小(magnitude)的量。
从前面的定义可以这样看出,偏导数和方向导数表达的是函数在某一点沿某一方向的变化率,也是具有方向和大小的。因此从这个角度来理解,我们也可以把偏导数和方向导数看作是一个向量,向量的方向就是变化率的方向,向量的模,就是变化率的大小。
那么沿着这样一种思路,就可以如下理解梯度:
梯度即函数在某一点最大的方向导数,函数沿梯度方向函数有最大的变化率。
梯度下降法
既然在变量空间的某一点处,函数沿梯度方向具有最大的变化率,那么在优化目标函数的时候,自然是沿着负梯度方向去减小函数值,以此达到我们的优化目标。
如何沿着负梯度方向减小函数值呢?既然梯度是偏导数的集合,如下:

同时梯度和偏导数都是向量,那么参考向量运算法则,我们在每个变量轴上减小对应变量值即可,梯度下降法可以描述如下:
以上就是梯度下降法的由来,大部分的机器学习任务,都可以利用Gradient Descent来进行优化。
转载:
[机器学习] ML重要概念:梯度(Gradient)与梯度下降法(Gradient Descent)
http://blog.csdn.net/walilk/article/details/50978864
更多推荐


所有评论(0)