[机器学习]关联挖掘算法Apriori和FP-Growth以及基于Spark 实例
目录Apriori 算法FP-Growth算法算法原理步骤1 统计各个商品被购买的频次步骤2 构建FP树步骤3 频繁项的挖掘阅读本文需要了解关联挖掘的基本知识,了解关联挖掘的基本原理,参考《[机器学习]关联挖掘介绍》。Apriori 算法Apriori算法就是根据有关频繁项集特性的先验知识而命名的。它使用一种称作逐层搜索的迭代方法,k-项集用于探索(k+1)-项集。首先,找出频繁1-项集的集合.记
目录
阅读本文需要了解关联挖掘的基本知识,了解关联挖掘的基本原理,参考《[机器学习]关联挖掘介绍》。
Apriori 算法
Apriori算法就是根据有关频繁项集特性的先验知识而命名的。它使用一种称作逐层搜索的迭代方法,k-项集用于探索(k+1)-项集。
首先,找出频繁1-项集的集合.记做L1,L1用于找出频繁2-项集的集合L2,再用于找出L3,如此下去,直到不能找到频繁k-项集。找每个Lk需要扫描一次数据库。
Apriori性质:一个频繁项集的任-子集也应该是频繁项集;任何非频繁项集的超集一定也是非频繁的。
因为这个性质,可以减少数据库扫描的次数。

FP-Growth算法
算法原理
频繁模式增长(frequent-pattern growth),简称FP-growth。它采取如下分治策略:将提供频繁项集的数据库压缩到一棵频繁模式树(FP-tree),但仍保留项集关联信息。
FP-Growth算法仅仅需要两次扫描数据库,第一次是统计每个商品的频次,用于剔除不满足最低支持度的商品,然后排序得到FreqItems。第二次,扫描数据库构建FP树。
FP-Tree:将事务数据表中的各个事务数据项按照支持度排序后,把每个事务中的数据项按降序依次插入到一棵以 NULL为根结点的树中,同时在每个结点处记录该结点出现的支持度。
算法描述如下:
1、对于每个频繁项,构造它的条件投影数据库和投影FP-tree。
2、对每个新构建的FP-tree重复这个过程,直到构造的新FP-tree为空,或者只包含一条路径。
3、当构造的FP-tree为空时,其前缀即为频繁模式;当只包含一条路径时,通过枚举所有可能组合并与此树的前缀连接即可得到频繁模式。
例子:
假设我们的Transaction数据库有5条交易数据,如下表,其中abcde为5个商品。假设设定minsup = 0.4,即要求至少共同出现2次(0.4*5=2)
|
id |
购买商品 |
|
1 |
a b d |
|
2 |
b c d |
|
3 |
a b e |
|
4 |
a b c |
|
5 |
b c d |
步骤1 统计各个商品被购买的频次
扫描数据库,统计每个商品的频次,并进行按降序排序,显然商品e仅仅出现了一次,不符合minsup,剔除。最终得到的结果如下表:
|
购买商品 |
次数 |
|
b |
5 |
|
c |
3 |
|
d |
3 |
|
a |
3 |
步骤2 构建FP树
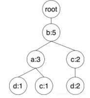
扫描数据库,进行FP树的构建。FP树以root节点为起始,节点包含自身的item和count,以及父节点和子节点。
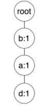
首先是第一条交易数据,a b d,结合第一步商品顺序,排序后为b a d,依次在树中添加节点b,父节点为root,最新的的频次为1,然后节点a,父节点为a,频次为1,最后节点d,父节点为b,频次为1。如下图所示:

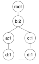
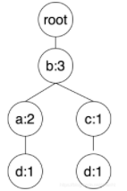
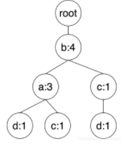
然后是第二条交易数据,排序后为:b c d。依次添加b,树中已经有节点b,因此更新频次加1,然后是节点c,b节点当前只有子节点d,因此新建节点c,父节点为b,频次为1,最后是d,父节点为c,频次为1。

第三条交易数据,排序后为:b a e。因为e的支持度小于阈值,去掉,只添加b a

第四条交易数据,排序后为:b a c,依次添加

第五条交易数据,排序后为:b c d,依次添加

步骤3 频繁项的挖掘
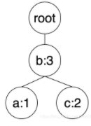
1、商品b频繁项的挖掘
首先b节点本身的频次符合minSupport,所以是一个频繁项(b : 5),然后b节点往上找subTree,只有跟节点,所以解锁,b为前缀的频繁项只有一个:(b : 5)。
2、商品a频繁项的挖掘
显然a本身是个频繁项(a : 3),然后递归的获取a的子树,进行挖掘。
子树构建方式如下:新建一个新的FP树,然后遍历树中所有的a节点,往上找,直到root节点,然后把当前路径上的非根节点添加到subTree中,每个节点的频次为当前遍历节点的频次。
因为a只有一个节点(a, 3),所以往上遍历得到节点b,因此把b加入subTree中,频次为节点(a, 3)的频次3。得到如下subTree,显然在这个subTree中只能挖掘出频繁项(b : 3),然后别忘了这是a递归得到的子树,得拼上前缀a,所以得到频繁项为(ab : 3)


3、商品c频繁项的挖掘
商品c在FP树中包含两个节点,分别为: (c, 1), (c, 2)。显然c自身是个频繁项(c : 3),然后进行递归。(c, 1)节点往上路径得到如下节点:(a, 1), (b, 1)。节点(c, 2)往上得到(b, 2),subTree中的节点(b, 3)符合minsupport,拼上前缀c得到频繁项(cb : 3)。节点(c, 1)不满足要求,丢弃。
上述三个节点可以构造出如下的subTree:


4、商品d频繁项的挖掘
子树首先挖出(c : 2),(b : 3),拼上前缀d得到(dc : 2),(db : 3),然后subTree中的节点c的subTree仅仅有根节点和节点(b, 2),拼上两个前缀得到(dcb : 2)。


spark java 代码:
import java.io.Serializable;
public class Item implements Serializable {
private String[] items;
public Item(String[] a){
this.items=a;
}
public String[] getItems() {
return items;
}
public void setItems(String[] items) {
this.items = items;
}
}
import org.apache.spark.ml.fpm.*;
import org.apache.spark.ml.param.Param;
import org.apache.spark.sql.Dataset;
import org.apache.spark.sql.Encoder;
import org.apache.spark.sql.Encoders;
import org.apache.spark.sql.SparkSession;
import java.util.Arrays;
import org.apache.spark.SparkConf;
public class Test01 {
public static void main(String[] args) {
SparkConf spconf=new SparkConf().setMaster("local[4]").setAppName("testFGGrowth");
SparkSession spsession=SparkSession.builder().config(spconf).getOrCreate();
String[] str1 = {"a", "b", "d"};
String[] str2 = {"b", "c", "d"};
String[] str3 = {"a", "b", "e"};
String[] str4 = {"a", "b", "c"};
String[] str5 = {"b", "c", "d"};
Item item1 = new Item(str1);
Item item2 = new Item(str2);
Item item3 = new Item(str3);
Item item4 = new Item(str4);
Item item5 = new Item(str5);
Encoder<Item> itemEncoder = Encoders.bean(Item.class);
Dataset<Item> ds=spsession.createDataset(Arrays.asList(item1,item2,item3,item4,item5),itemEncoder);
ds.show();
FPGrowth fpGrowth=new FPGrowth().setMinSupport(0.2).setMinConfidence(0.4).setNumPartitions(3);
fpGrowth.setItemsCol("items");
FPGrowthModel model= fpGrowth.fit(ds);
Param<String> colParam=fpGrowth.itemsCol();
Dataset freqItems=model.freqItemsets();
freqItems.show();
Dataset assoRule= model.associationRules();
assoRule.show();
}
}
结果:
1)频繁集
+---------+----+
| items|freq|
+---------+----+
| [a]| 3|
| [a, d]| 1|
|[a, d, b]| 1|
| [a, c]| 1|
|[a, c, b]| 1|
| [a, b]| 3|
| [b]| 5|
| [e]| 1|
| [e, a]| 1|
|[e, a, b]| 1|
| [e, b]| 1|
| [c]| 3|
| [c, b]| 3|
| [d]| 3|
| [d, c]| 2|
|[d, c, b]| 2|
| [d, b]| 3|
+---------+----+
关联规则:
+----------+----------+------------------+------------------+
|antecedent|consequent| confidence| lift|
+----------+----------+------------------+------------------+
| [b]| [a]| 0.6| 1.0|
| [b]| [c]| 0.6| 1.0|
| [b]| [d]| 0.6| 1.0|
| [e, a]| [b]| 1.0| 1.0|
| [a]| [b]| 1.0| 1.0|
| [c]| [b]| 1.0| 1.0|
| [c]| [d]|0.6666666666666666|1.1111111111111112|
| [d, c]| [b]| 1.0| 1.0|
| [d]| [c]|0.6666666666666666|1.1111111111111112|
| [d]| [b]| 1.0| 1.0|
| [c, b]| [d]|0.6666666666666666|1.1111111111111112|
| [d, b]| [c]|0.6666666666666666|1.1111111111111112|
| [e]| [a]| 1.0|1.6666666666666667|
| [e]| [b]| 1.0| 1.0|
| [e, b]| [a]| 1.0|1.6666666666666667|
| [a, d]| [b]| 1.0| 1.0|
| [a, c]| [b]| 1.0| 1.0|
+----------+----------+------------------+------------------+
更多推荐





所有评论(0)