pytorch minist
导入相关库import torchfrom torch import nnfrom torch.nn import functional as Ffrom torch import optimimport torchvisionfrom matplotlib import pyplot as pltfrom utils import plot_image, plot_curve,...
·
导入相关库
import torch
from torch import nn
from torch.nn import functional as F
from torch import optim
import torchvision
from matplotlib import pyplot as plt
from utils import plot_image, plot_curve, one_hot
创建util.py
import torch
from matplotlib import pyplot as plt
def plot_curve(data):
fig = plt.figure()
plt.plot(range(len(data)), data, color='blue')
plt.legend(['value'], loc='upper right')
plt.xlabel('step')
plt.ylabel('value')
plt.show()
def plot_image(img, label, name):
fig = plt.figure()
for i in range(6):
plt.subplot(2, 3, i + 1)
plt.tight_layout()
plt.imshow(img[i][0]*0.3081+0.1307, cmap='gray', interpolation='none')
plt.title("{}: {}".format(name, label[i].item()))
plt.xticks([])
plt.yticks([])
plt.show()
def one_hot(label, depth=10):
out = torch.zeros(label.size(0), depth)
idx = torch.LongTensor(label).view(-1, 1)
out.scatter_(dim=1, index=idx, value=1)
return out
打印图片尺寸
batch_size = 512
# step1. load dataset
train_loader = torch.utils.data.DataLoader(
torchvision.datasets.MNIST('mnist_data', train=True, download=True,
transform=torchvision.transforms.Compose([
torchvision.transforms.ToTensor(),
torchvision.transforms.Normalize(
(0.1307,), (0.3081,))
])),
batch_size=batch_size, shuffle=True)
test_loader = torch.utils.data.DataLoader(
torchvision.datasets.MNIST('mnist_data/', train=False, download=True,
transform=torchvision.transforms.Compose([
torchvision.transforms.ToTensor(),
torchvision.transforms.Normalize(
(0.1307,), (0.3081,))
])),
batch_size=batch_size, shuffle=False)
x, y = next(iter(train_loader))
print(x.shape, y.shape, x.min(), x.max())
plot_image(x, y, 'image sample')

定义网络,迭代损失
class Net(nn.Module):
def __init__(self):
super(Net, self).__init__()
# xw+b
self.fc1 = nn.Linear(28*28, 256)
self.fc2 = nn.Linear(256, 64)
self.fc3 = nn.Linear(64, 10)
def forward(self, x):
# x: [b, 1, 28, 28]
# h1 = relu(xw1+b1)
x = F.relu(self.fc1(x))
# h2 = relu(h1w2+b2)
x = F.relu(self.fc2(x))
# h3 = h2w3+b3
x = self.fc3(x)
return x
net = Net()
# [w1, b1, w2, b2, w3, b3]
optimizer = optim.SGD(net.parameters(), lr=0.01, momentum=0.9)
train_loss = []
for epoch in range(3):
for batch_idx, (x, y) in enumerate(train_loader):
# x: [b, 1, 28, 28], y: [512]
# [b, 1, 28, 28] => [b, 784]
x = x.view(x.size(0), 28*28)
# => [b, 10]
out = net(x)
# [b, 10]
y_onehot = one_hot(y)
# loss = mse(out, y_onehot)
loss = F.mse_loss(out, y_onehot)
optimizer.zero_grad()
loss.backward()
# w' = w - lr*grad
optimizer.step()
train_loss.append(loss.item())
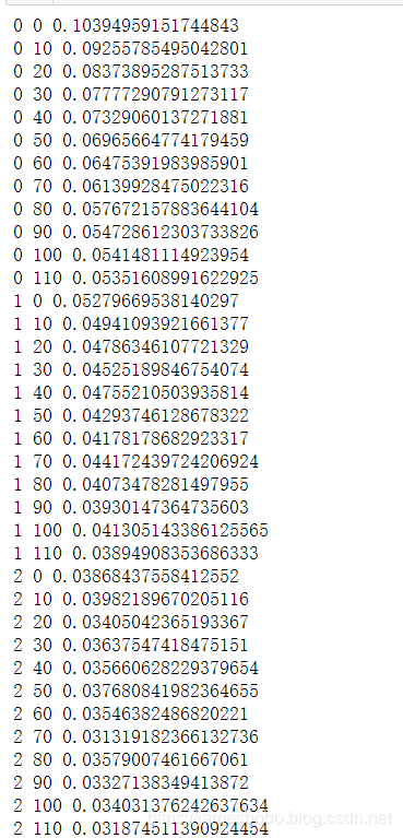
if batch_idx % 10==0:
print(epoch, batch_idx, loss.item())
plot_curve(train_loss)
# we get optimal [w1, b1, w2, b2, w3, b3]


计算测试准确率
total_correct = 0
for x,y in test_loader:
x = x.view(x.size(0), 28*28)
out = net(x)
# out: [b, 10] => pred: [b]
pred = out.argmax(dim=1)
correct = pred.eq(y).sum().float().item()
total_correct += correct
total_num = len(test_loader.dataset)
acc = total_correct / total_num
print('test acc:', acc)
x, y = next(iter(test_loader))
out = net(x.view(x.size(0), 28*28))
pred = out.argmax(dim=1)
plot_image(x, pred, 'test')

更多推荐



所有评论(0)