机器学习【西瓜书/南瓜书】--- 第3章 线性模型(学习笔记+公式推导)
西瓜书+南瓜书第三章-线性模型
·
Task02 详读西瓜书+南瓜书
1 基本形式
假如说现在有一个正态分布,正态分布由mu和sigama决定,极大似然估计就是用来确定正态分布的这两个参数的
3.2多元线性回归
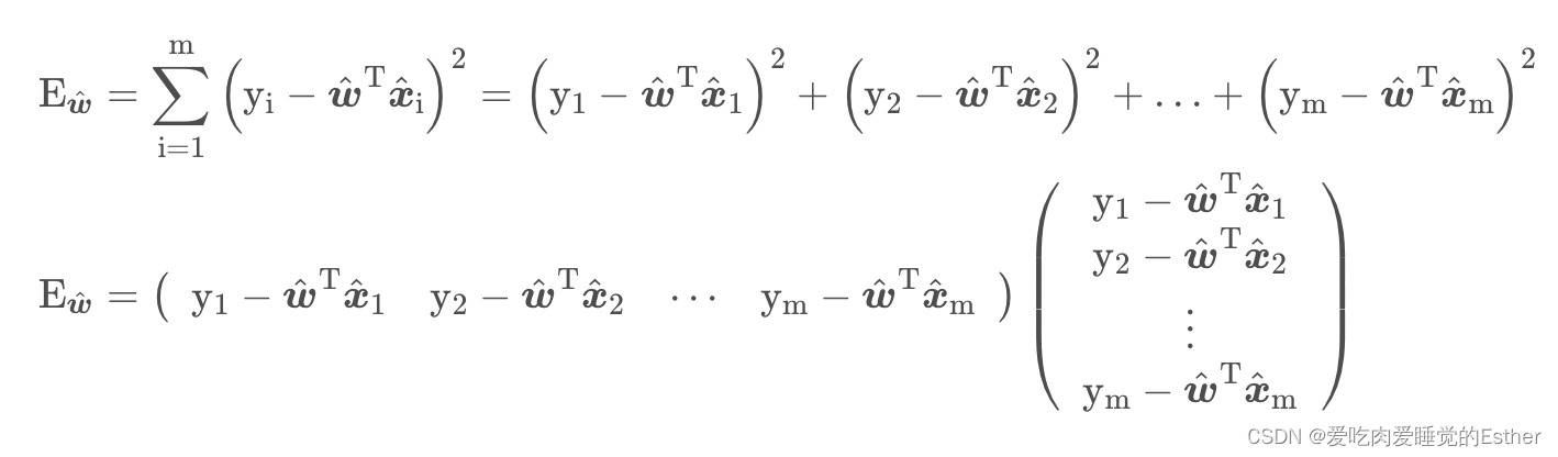
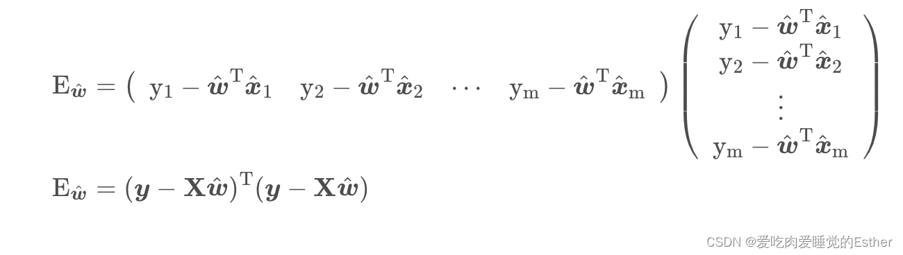
对线性回归方程进行化简
将 b = w d + 1 ∗ 1 b=w_{d+1}*1 b=w
d+1
∗1 因此要在向量 w w w后面补一个 w d + 1 w_{d+1} w
d+1
,向量 x x x 后面补一个 1 1 1 ,化成两个向量内积的形式
将最小二乘法得到的式子向量化,便于用numpy计算
将后面的列向量转化一下形式


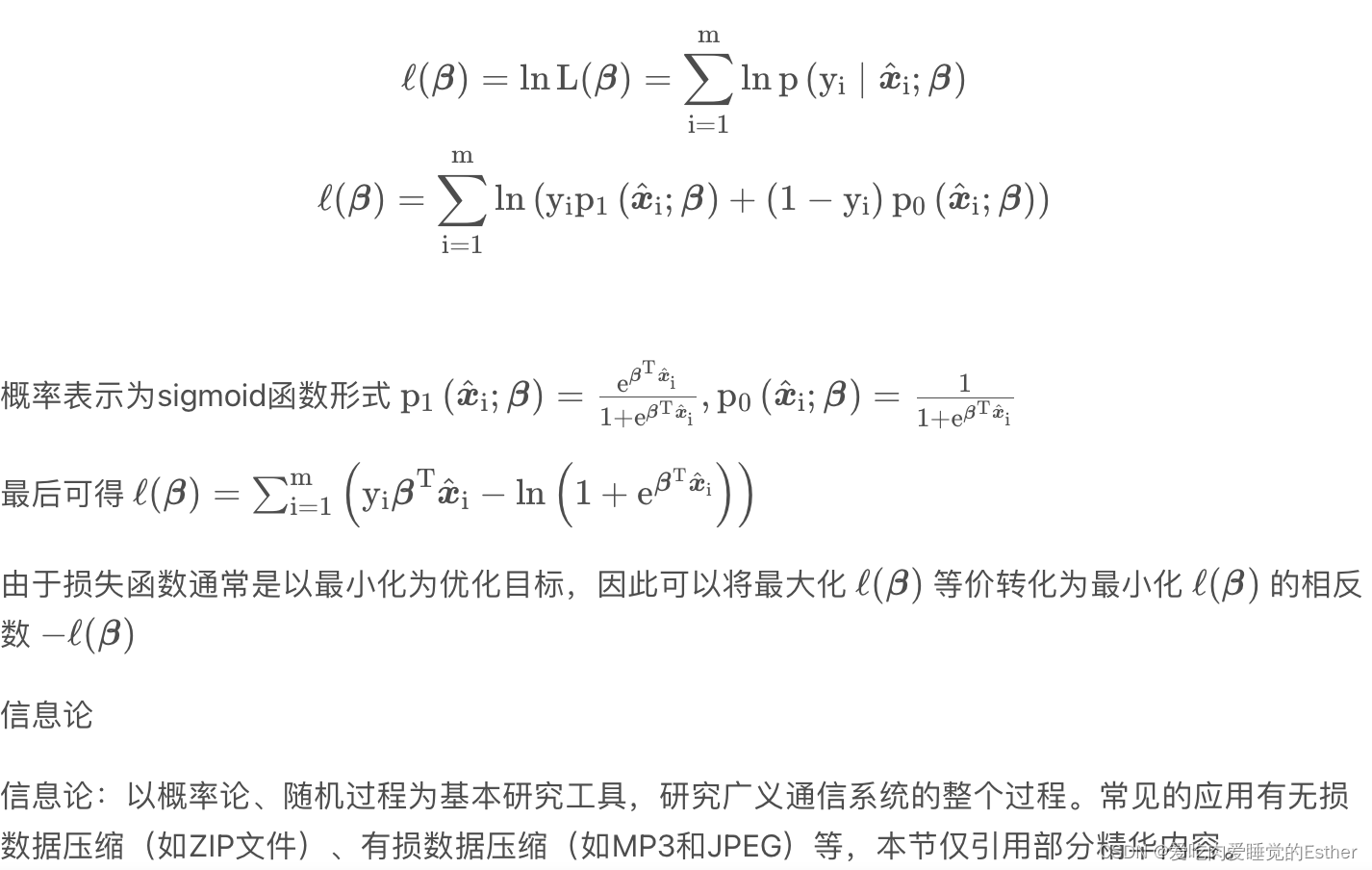
3.3对数几率回归
对数似然函数


3.4二分类线性判别分析
让全体训练样本经过投影后:






更多推荐




所有评论(0)