微分方程的数值解法与程序实现 pdf_[美到无法呼吸]微信小程序体验体验GrayScott偏微分方程求解...
微信小程序支持webGL的shader编译,体验Gray-Scott偏微分方程求解。PDE如下:网页中用webGL编写,求解如下:中午没睡,移植到微信小程序中体验:Gray-Scott模型,这样就真正做到随手求解PDE:过了好多分钟,结果如下:先不说了,广告时间又到了,现在植入广告:几个《传热学》相关的小程序总结如下,可在微信中点击体验:有限元三角...
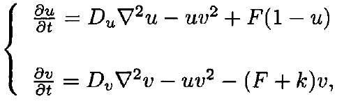
微信小程序支持webGL的shader编译,体验Gray-Scott偏微分方程求解。PDE如下:

网页中用webGL编写,求解如下:

中午没睡,移植到微信小程序中体验:Gray-Scott模型,这样就真正做到随手求解PDE:

过了好多分钟,结果如下:

先不说了,广告时间又到了,现在植入广告:几个《传热学》相关的小程序总结如下,可在微信中点击体验:
-
有限元三角单元网格自动剖分
-
Delaunay三角化初体验 (理论戳这)
-
Contour等值线绘制 (理论戳这)
-
2D非稳态温度场有限元分析
-
1D稳态导热温度场求解 (源码戳这)
-
1D非稳态导热温度场求解程序 (源码戳这)
-
2D稳态导热温度场求解 (源码戳这)
-
普朗克黑体单色辐射力
《传热学》相关小程序演示动画如下(其中下图1D非稳态导热计算发散,调小时间步长后重新计算,结果收敛!):

黑体单色辐射力如下图,可见温度越高,同频率辐射力越大:

《(计算)流体力学》中的几个小程序,可在微信中点击体验:
-
Blasius偏微分方程求解速度边界层 (理论这里)
-
理想流体在管道中的有势流动 (源码戳这)
-
涡量-流函数法求解顶驱方腔流动 (源码戳这)
-
SIMPLE算法求解顶驱方腔流动 (源码戳这)
-
Lattice Boltzmann Method计算绕流演示(参考源码)
-
流体力学实验在线演示进行演示
关于《(计算)流体力学》相关的几个小程序演示动画如下:

LBM(=Lattice Boltzmann Method)计算得到的圆柱绕流“卡门涡街”演示(由于网格较少,分辨率低,圆柱近乎正方形):

顺便,《(热工过程)自动控制》中关于PID控制器的仿真可点击此处体验:PID控制演示小程序,(PID控制相关视频见:基础/整定/重要补充)。动画如下:

(正文完!)
现将往期内容制成目录,内容如下:
1 前言(已完成)
2 HTML5 基础(已完成)
2.1 开发平台搭建(已完成)
2.2 HTML5基础入门(已完成)
2.2.1 js基础(已完成)
2.2.2 HTML标签简介(已完成)
2.2.3 文档对象模型DOM及表单(已完成)
2.2.4 HTML5 Canvas绘图基础(已完成)
2.2.5 HTML5程序调试(已完成)
2.2.6 第三方js类库(已完成)
2.2.7 webAssemble简介/工具链配置/应用DemoCode
2.3 简单网页编写Primer(已完成)
2.3.1 基于easyUI(已完成)
2.3.2 基于bootstrap(已完成)
2.3.3 Wrap it up!(已完成)
2.4 电脑/手机客户端开发简介(已完成)
2.5 node.js回首望(已完成)
3 基于HTML5的数据可视化(已完成)
3.1 Contour绘制(已完成)
3.1.1 借助显卡GPU绘制Contour(已完成)
3.1.2 使用绘图API绘制Contour的思路(已完成)
3.1.3 绘制三维Contour图的思路(已完成)
3.2 矢量图的绘制(已完成)
3.3 绘制曲线(已完成)
3.4 js生成报表(已完成)
4 高等数学中若干简单数值计算算例(已完成)
4.1 数值积分、高等函数绘制(已完成)
4.2 非线性方程求解(已完成)
4.3 差分与简单常微分方程初值问题(已完成)
5 使用HTML5编程实现热传导温度场求解(已完成)
5.1 一维导热算例(已完成)
5.1.1一维无内热源温度场数值模拟(基于基于HTML5编程)(已完成)
5.1.2 一维非稳态无内热源导热程序(已完成)
5.2 二维导热算例-综述(已完成)
5.2.1 二维导热算例-热导的概念(已完成)
5.2.2 二维导热算例-迭代计算(已完成)
5.2.3 二维导热算例-整体架构(已完成)
5.2.4 二维无内热源稳态导热程序(已完成)
5.2.5.1 webGL显式迭代计算温度场的shader[显卡风扇不能停]
5.2.5.2 webGL隐式迭代计算温度场的shader[显卡风扇不能停]
5.3 几个传热学视频
5.3.1 [视频]导热控制偏微分方程
5.3.2 [视频]一维肋的稳态导热温度场求解
5.3.3 [视频]集中参数法求解集总体的非稳态温度场
5.3.4 [视频]热传导问题的数值解法
5.3.5 [视频]二维常物性不可压流体对流换热问题的数学描述
5.3.6 [视频]两个封闭系统辐射换热计算
5.4 Wrap it up!(已完成)
6 工程流体力学(已完成)
6.1 理想流体的简单势流计算(已完成)
6.2 粘性流体涡量-流函数算法(已完成)
6.3 SIMPLE算法(已完成)
6.4 投影算法(已完成)
6.5 边界层-Blasius方程的求解(已完成)
6.6 开源软件与商业软件(已完成)
7 小型制冷设计(已完成)
7.1 使用js多快好省绘制简单CAD图纸(已完成)
7.1.1 二维图纸绘制(已完成)
7.1.2 三维图纸绘制(已完成)
7.2 冷凝器算例(已完成)
7.2.1 需求分析及前端界面(已完成)
7.2.2 计算程序(已完成)
7.2.3 图纸输出(已完成)
7.3 蒸发器算例(已完成)
8 热工过程自动控制(已完成)
8.1 时域分析与频域分析(已完成)
8.2 汽包锅炉水位自动控制(已完成)
8.2a 数字PID控制示例,以液位控制为例
8.3 串口读写(已完成)
8.4 PID控制器三部分:基础/整定/重要补充(已完成)
9 物联网(已完成)
10 机器学习(已完成)
11 虚拟现实(已完成)
11.1 webVR/AR:webGL的副业
Where to go from here?(已完成)
[python从入门到放弃系列]
Python基本命令、函数、数据结构
8个常用Python库从安装到应用
python API操作tecplot做数据处理(已完成)
用pyautogui批量输入表单(已完成)
推公式sympy(已完成)
基于百度OCR的文字识别(已完成)
pyautogui+acrobat去PDF水印一例(已完成)
[瞎侃系列]
平行宇宙引-双缝干涉实验-量子纠缠态
Gmsh使用教程
不服跑个分!-解Laplace偏微分方
《传热学/流体力学》中几个简单演示程序
LBM计算卡门涡街绕流

更多推荐




所有评论(0)