机器学习 支持向量机(SVM) 学习入门 (一)
支持向量机(SVM)三大件:间隔,对偶,核技巧支持向量机(SVM)的基本型(摘自西瓜书P123):思想:SVM试图找出一个决策边界,让距离两个类别最近的样本最远,这个边界可以是线也可以是超平面由此可知:支持向量("2."中介绍)到超平面的距离为 d,其他点到超平面的距离都要不小于 d(这句话要好好体会,有助于理解支持向量)说明:1.下边的所有公式实际应写成xi,yi比较好,(xi,yi)代表样本集
支持向量机(SVM)
三大件:间隔,对偶,核技巧
支持向量机(SVM)的基本型(摘自西瓜书P123):

思想:SVM试图找出一个决策边界,让距离两个类别最近的样本最远,这个边界可以是线也可以是超平面
由此可知:支持向量("2."中介绍)到超平面的距离为 d,其他点到超平面的距离都要不小于 d(这句话要好好体会,有助于理解支持向量)
说明:
1.下边的所有公式实际应写成xi,yi比较好,(xi,yi)代表样本集中的所有样本点,大家理解即可
2.在写的时候的分析是基于样本集D={(x1,y1),(x2,y2),…,(xm,ym)},yi={-1,1}
分析基本型流程如下:
-
回顾样本空间中任意点x到超平面 (w,b) 的距离(不用管r,就是个符号表示距离),可以写为:

其中||w||是多维向量到原点的距离,是向量的范数,即模长
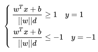
依据SVM原理,r>=d,解出约束条件(说明:yi=1,即wTx+b>0,反之则小于0):
经过转化得到:
为了方便推导和优化,且这样做对目标函数的优化没有影响,令||w||d为1,得到:
合并可以这样写:
-
对下边两个超平面:

如下图所示(摘自西瓜书P122):

求出距离,正是我们所说的间隔,上图圈起来的加号和减号的含义才代表支持向量,因为它们到所求的超平面(红实线)的距
离才为d,即虚线所代表的两个超平面距离的一半,这个距离怎么求呢?
回顾两平行直线间的距离公式(摘自百度文库,点击查看):

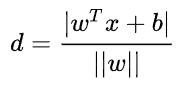
每个支持向量到超平面的距离(不要管d,就是个符号代表距离)可以写为:
其中w的公式为:
和上边的条件约束中||w||d为1保持一致,||w||d即和|wTx+b|(所求超平面)相同为1,而根据间隔的定义,
所求的距离还要乘以2,于是引出关于间隔的公式。
- 西瓜书中对间隔 (margin) 的定义:两个异类支持向量到超平面的距离之和,即两超平面之间的距离,
最终公式如下:
我们让这个间隔最大化,再让所求的超平面位于两超平面的正中间(所求的那个超平面正是上图红线的位置),即可实现最优的
SVM分类,可以对比上文我拍的西瓜书的那张图。
为了最大化间隔(上面公式),也方便计算,让分母||w||最小,转化成求下边式子最小的问题:
加上约束条件,即得SVM基本型
之后此系列将继续更新如何优化求解的方案…,请关注后续更新,感谢大家阅读和支持
更多推荐



所有评论(0)