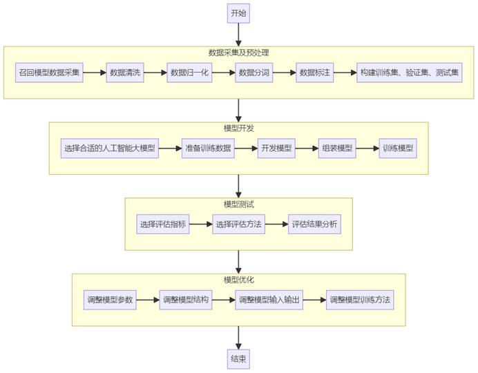
如何用人工智能大模型评估召回模型的效果?三步走教你轻松搞定!
召回模型是数字化营销中的一种常用的推荐系统,它的目的是根据用户的行为和偏好,从海量的候选物品中筛选出最有可能被用户感兴趣的物品,从而提高用户的满意度和转化率。然而,召回模型的效果往往受限于数据的质量和数量,以及模型的复杂度和泛化能力。人工智能大模型是一种利用大规模的数据和计算资源,通过深度学习的方法,构建出具有强大的表达能力和知识储备的模型的技术。人工智能大模型可以有效地解决召回模型的一些挑战,例
摘要
召回模型是数字化营销中的一种常用的推荐系统,它的目的是根据用户的行为和偏好,从海量的候选物品中筛选出最有可能被用户感兴趣的物品,从而提高用户的满意度和转化率。然而,召回模型的效果往往受限于数据的质量和数量,以及模型的复杂度和泛化能力。人工智能大模型是一种利用大规模的数据和计算资源,通过深度学习的方法,构建出具有强大的表达能力和知识储备的模型的技术。人工智能大模型可以有效地解决召回模型的一些挑战,例如数据稀疏性、冷启动问题、多样性和新颖性等。本文将从产品经理的视角,介绍如何使用人工智能大模型来优化召回模型的效果,以及如何进行合理的效果评估。本文将涉及以下几个方面:评估指标、评估方法和评估结果分析。本文旨在帮助产品经理和运营人员了解人工智能大模型在数字化营销中的应用和价值,以及如何利用它们来提升业务的效率和效果。

数字化营销是指利用数字技术和渠道,通过分析用户的数据和行为,为用户提供个性化的内容和服务,从而实现营销目标的一种方式。数字化营销的核心是用户,用户的需求和喜好是影响营销效果的最重要的因素。因此,如何准确地了解用户,以及如何有效地满足用户,是数字化营销中的关键问题。
召回模型是数字化营销中的一种常用的推荐系统,它的目的是根据用户的行为和偏好,从海量的候选物品中筛选出最有可能被用户感兴趣的物品,从而提高用户的满意度和转化率。召回模型可以应用于多种数字化营销的场景,例如电商、广告、内容、社交等。召回模型的效果直接影响了用户的体验和业务的收入,因此,优化召回模型的效果是数字化营销中的重要任务。
然而,召回模型的效果往往受限于数据的质量和数量,以及模型的复杂度和泛化能力。一方面,数据的质量和数量决定了模型能够学习到的信息和知识的多少和准确性,如果数据不足或者不准确,模型就无法有效地捕捉用户和物品的特征和关系,从而导致召回效果不佳。另一方面,模型的复杂度和泛化能力决定了模型能够处理的问题的难度和范围,如果模型过于简单或者过于复杂,都会影响模型的性能和稳定性,从而导致召回效果不理想。
人工智能大模型是一种利用大规模的数据和计算资源,通过深度学习的方法,构建出具有强大的表达能力和知识储备的模型的技术。人工智能大模型可以有效地解决召回模型的一些挑战,例如数据稀疏性、冷启动问题、多样性和新颖性等。人工智能大模型可以从大量的数据中学习到丰富的特征和语义,从而提高模型的准确性和鲁棒性。人工智能大模型也可以利用预训练和迁移学习的技术,将从其他领域或任务中学习到的通用知识和能力,应用到召回模型的场景中,从而提高模型的泛化能力和效率。人工智能大模型还可以利用生成式和对抗式的技术,创造出更多的数据和物品,从而提高模型的多样性和新颖性。
本文将从产品经理的视角,介绍如何使用人工智能大模型来优化召回模型的效果,以及如何进行合理的效果评估。本文将涉及以下几个方面:评估指标、评估方法和评估结果分析。本文旨在帮助产品经理和运营人员了解人工智能大模型在数字化营销中的应用和价值,以及如何利用它们来提升业务的效率和效果。本文也是我个人号“产品经理独孤虾”(全网同号)中的专栏《智能营销—大模型如何为运营与产品经理赋能》的一部分,欢迎关注和交流。

评估指标
评估指标是用来衡量召回模型效果的一种量化的标准,它可以反映模型的优劣和改进的方向。评估指标的选择应该根据业务的目标和场景来确定,不同的业务可能有不同的评估指标。一般来说,评估指标可以分为两大类:准确性指标和多样性指标。
准确性指标是用来衡量召回模型是否能够准确地预测用户的兴趣和偏好的一种指标,它可以反映模型的准确性和召回率。准确性指标的常用的有以下几种:
- 命中率(Hit Rate,HR):命中率是指召回模型能够将用户实际感兴趣的物品召回到候选集中的概率,它可以反映模型的召回能力。命中率的计算公式为:
HR=u∈UI(Ru∩Tu>0)∣U∣
其中,U是用户集合,Ru是召回模型为用户u推荐的物品集合,Tu是用户u实际感兴趣的物品集合,I是指示函数,如果括号内的条件成立,返回1,否则返回0。命中率越高,说明模型的召回能力越强。
- 准确率(Precision):准确率是指召回模型推荐的物品中,有多少是用户实际感兴趣的物品的比例,它可以反映模型的准确性。准确率的计算公式为:
Precision=u∈U∣Ru∩Tu∣u∈U∣Ru∣
其中,U是用户集合,Ru是召回模型为用户u推荐的物品集合,Tu是用户u实际感兴趣的物品集合。准确率越高,说明模型的准确性越高。
- 召回率(Recall):召回率是指召回模型推荐的物品中,占用户实际感兴趣的物品的比例,它可以反映模型的覆盖率。召回率的计算公式为:
Recall=u∈U∣Ru∩Tu∣u∈U∣Tu∣
其中,U是用户集合,Ru是召回模型为用户u推荐的物品集合,Tu是用户u实际感兴趣的物品集合。召回率越高,说明模型的覆盖率越高。
- F1值(F1-Score):F1值是指准确率和召回率的调和平均值,它可以反映模型的综合性能。F1值的计算公式为:
F1=2×Precision×RecallPrecision+Recall
其中,Precision是准确率,Recall是召回率。F1值越高,说明模型的综合性能越高。
多样性指标是用来衡量召回模型是否能够提供多样化的物品给用户的一种指标,它可以反映模型的多样性和新颖性。多样性指标的常用的有以下几种:
- 个性化度(Personalization):个性化度是指召回模型能够根据不同用户的兴趣和偏好,推荐不同的物品的程度,它可以反映模型的个性化能力。个性化度的计算公式为:
Personalization=1-u,v∈U,u≠v∣Ru∩Rv∣u,v∈U,u≠v∣Ru∪Rv∣
其中,U是用户集合,Ru是召回模型为用户u推荐的物品集合,Rv是召回模型为用户v推荐的物品集合。个性化度越高,说明模型的个性化能力越强。
- 多样性(Diversity):多样性是指召回模型推荐的物品之间的差异性的程度,它可以反映模型的多样化能力。多样性的计算公式为:
Diversity=1-u∈Ui,j∈Ru,i≠jS(i,j)u∈U∣Ru∣(∣Ru∣-1)
其中,U是用户集合,Ru是召回模型为用户u推荐的物品集合,S(i,j)是物品i和物品j之间的相似度,可以用余弦相似度、皮尔逊相关系数等方法来计算。多样性越高,说明模型的多样化能力越强。
- 新颖性(Novelty):新颖性是指召回模型推荐的物品的平均流行度的倒数,它可以反映模型的新颖化能力。新颖性的计算公式为:
Novelty=1u∈U∣Ru∣u∈Ui∈Ru1log(1+Ni)
其中,U是用户集合,Ru是召回模型为用户u推荐的物品集合,Ni是物品i的流行度,可以用物品被用户点击或购买的次数来衡量。新颖性越高,说明模型的新颖化能力越强。
评估方法
评估方法是用来实施评估指标的一种具体的操作方式,它可以决定评估的过程和质量。评估方法的选择应该根据数据的来源和类型,以及模型的特点和要求来确定,不同的数据和模型可能有不同的评估方法。一般来说,评估方法可以分为两大类:离线评估和在线评估。
离线评估是指利用已有的历史数据,通过模拟用户的行为和反馈,来评估召回模型的效果的一种方法,它可以反映模型的理论性能和潜在效果。离线评估的优点是可以快速地进行多次的实验和比较,不需要干扰真实的用户和业务,也不需要消耗太多的资源和成本。离线评估的缺点是无法完全模拟真实的用户和场景,可能存在数据的偏差和噪声,也无法考虑用户的动态变化和交互效应,因此,离线评估的结果可能与在线评估的结果存在一定的差异和偏差。离线评估的常用的有以下几种:
- 留出法(Hold-out):留出法是指将数据集划分为训练集和测试集,用训练集来训练召回模型,用测试集来评估召回模型的效果的一种方法,它可以反映模型的泛化能力。留出法的优点是简单易行,不需要重复的训练和测试,也不需要额外的参数。留出法的缺点是数据的划分可能影响模型的性能和评估的结果,如果数据的分布不均匀或者规模不足,可能导致模型的过拟合或者欠拟合,以及评估的不稳定或者不准确。留出法的数据划分的比例一般为8:2或7:3,也可以根据数据的特点和模型的需求来调整。
- 交叉验证法(Cross-validation):交叉验证法是指将数据集划分为k个子集,每次用k-1个子集来训练召回模型,用剩下的一个子集来评估召回模型的效果,重复k次,然后取平均值作为最终的评估结果的一种方法,它可以反映模型的稳定性和可信度。交叉验证法的优点是可以充分利用数据,避免数据的划分对模型的影响,提高评估的准确性和可靠性。交叉验证法的缺点是需要多次的训练和测试,增加了计算的时间和成本,也需要额外的参数。交叉验证法的k的取值一般为5或10,也可以根据数据的特点和模型的需求来调整。
- 自助法(Bootstrap):自助法是指从数据集中有放回地随机抽取n个样本,作为训练集来训练召回模型,用剩下的未被抽取的样本,作为测试集来评估召回模型的效果的一种方法,它可以反映模型的偏差和方差。自助法的优点是可以最大化地利用数据,不需要划分数据,也不需要额外的参数。自助法的缺点是可能存在数据的重复和遗漏,导致模型的过拟合或者欠拟合,以及评估的不稳定或者不准确。自助法的n的取值一般为数据集的大小,也可以根据数据的特点和模型的需求来调整。
在线评估是指利用真实的用户和场景,通过实际的用户的行为和反馈,来评估召回模型的效果的一种方法,它可以反映模型的实际性能和影响效果。在线评估的优点是可以直接观察用户的反应和满意度,考虑用户的动态变化和交互效应,提高评估的真实性和有效性。在线评估的缺点是需要干扰真实的用户和业务,可能存在用户的抵触和风险,也需要消耗更多的资源和成本。在线评估的常用的有以下几种:
- A/B测试(A/B Testing):A/B测试是指将用户随机分为两组,一组使用原有的召回模型,另一组使用新的召回模型,然后比较两组用户的评估指标的差异,判断新的召回模型是否优于原有的召回模型的一种方法,它可以反映模型的相对优劣和改进空间。A/B测试的优点是简单直观,可以快速地得到结果和反馈,也可以进行多次的迭代和优化。A/B测试的缺点是需要足够的用户和时间,保证结果的显著性和可信度,也需要控制其他的干扰因素,保证结果的一致性和可比性。A/B测试的用户分组的比例一般为1:1或9:1,也可以根据用户的规模和模型的需求来调整。
- 多臂老虎机(Multi-armed Bandit):多臂老虎机是指将用户动态地分配给不同的召回模型,根据用户的反馈来调整分配的概率,使得用户更有可能被分配给表现较好的召回模型,从而最大化用户的总体满意度的一种方法,它可以反映模型的绝对优劣和最优策略。多臂老虎机的优点是可以实时地进行学习和调整,不需要等待结果的统计和分析,也可以平衡探索和利用的权衡,减少用户的损失和风险。多臂老虎机的缺点是需要设计合理的奖励函数和分配算法,保证结果的有效性和稳定性,也需要考虑用户的多样性和变化性,保证结果的适应性和灵活性。多臂老虎机的用户分配的概率一般由算法动态地决定,也可以根据用户的特点和模型的需求来调整。
- 因果推断(Causal Inference):因果推断是指利用统计学和机器学习的方法,从观察性的数据中,识别和估计召回模型对用户的评估指标的因果效应的一种方法,它可以反映模型的因果关系和潜在影响。因果推断的优点是可以从已有的数据中,推断出召回模型的作用和效果,不需要进行额外的实验和干预,也可以处理一些复杂的情况和问题,例如混淆变量、选择偏差、中介效应等。因果推断的缺点是需要对数据和模型的因果结构和假设有一定的了解和判断,保证结果的合理性和可解释性,也需要选择合适的方法和模型,保证结果的准确性和有效性。因果推断的常用的方法和模型有以下几种:
- 因果图(Causal Graph):因果图是指用图形的方式,表示数据和模型中的变量之间的因果关系的一种方法,它可以反映数据和模型的因果结构和假设。因果图的优点是可以直观地展示和分析因果关系,也可以利用图论的方法,进行因果推断和控制。因果图的缺点是需要对数据和模型的因果关系有一定的先验知识和判断,也需要考虑因果图的完整性和一致性。因果图的常用的类型有有向无环图(Directed Acyclic Graph,DAG)、有向非无环图(Directed Cyclic Graph,DCG)、无向图(Undirected Graph)等。
- 潜在变量模型(Latent Variable Model):潜在变量模型是指用一些隐含的变量,来表示数据和模型中的一些未观察到或者不可观察的因素的一种方法,它可以反映数据和模型的潜在因果效应。潜在变量模型的优点是可以处理数据的不完整性和不确定性,也可以提取数据的深层特征和语义。潜在变量模型的缺点是需要对潜在变量的分布和关系有一定的假设和约束,也需要选择合适的方法和模型,进行潜在变量的推断和估计。潜在变量模型的常用的方法和模型有隐马尔可夫模型(Hidden Markov Model,HMM)、主题模型(Topic Model)、深度生成模型(Deep Generative Model)等。
- 因果匹配(Causal Matching):因果匹配是指用一些匹配的方法,来构造数据和模型中的对照组和实验组,从而消除或者减少混淆变量的影响,提高因果效应的可信度的一种方法,它可以反映数据和模型的因果差异和比较。因果匹配的优点是可以利用已有的数据,进行因果推断和估计,不需要进行额外的实验和干预,也可以处理一些复杂的情况和问题,例如选择偏差、多重处理等。因果匹配的缺点是需要对数据和模型的匹配条件和方法有一定的选择和判断,也需要考虑匹配的质量和效果。因果匹配的常用的方法和模型有倾向值匹配(Propensity Score Matching,PSM)、协变量匹配(Covariate Matching),基于模型的匹配(Model-based Matching)等。
延伸阅读:人工智能大模型的召回模型评估秘笈:如何用数据说话,让你的产品和运营更上一层楼
评估结果分析
评估结果分析是指对评估方法得到的评估指标的结果,进行分析和解释,从而得出召回模型的优劣和改进的建议的一种过程,它可以反映模型的实际价值和潜在问题。评估结果分析的目的是为了帮助产品经理和运营人员,更好地理解和使用召回模型,以及如何利用人工智能大模型来优化召回模型的效果。评估结果分析的方法应该根据评估指标的类型和特点,以及模型的目标和场景来确定,不同的评估指标和模型可能有不同的评估结果分析的方法。一般来说,评估结果分析的方法可以分为以下几种:
- 描述性分析(Descriptive Analysis):描述性分析是指用一些统计学的方法,对评估指标的结果进行描述和总结,从而得出召回模型的基本特征和状态的一种方法,它可以反映模型的基本情况和水平。描述性分析的常用的方法有以下几种:
- 均值(Mean):均值是指评估指标的结果的算术平均值,它可以反映模型的平均水平。均值的计算公式为:
Mean=i=1nxin
其中,xi是第i个评估指标的结果,n是评估指标的个数。均值越高,说明模型的平均水平越高。
-
- 方差(Variance):方差是指评估指标的结果的离散程度,它可以反映模型的稳定性和可信度。方差的计算公式为:
Variance=i=1n(xi-Mean)2n
其中,xi是第i个评估指标的结果,Mean是评估指标的均值,n是评估指标的个数。方差越小,说明模型的稳定性和可信度越高。
-
- 标准差(Standard Deviation):标准差是指评估指标的结果的离散程度的平方根,它可以反映模型的波动性和可比性。标准差的计算公式为:
StandardDeviation=Variance
其中,Variance是评估指标的方差。标准差越小,说明模型的波动性和可比性越高。
-
- 最大值(Maximum):最大值是指评估指标的结果的最大值,它可以反映模型的最优水平。最大值的计算公式为:
Maximum=max(x1,x2,...,xn)![]()
其中,xi是第i个评估指标的结果,n是评估指标的个数。最大值越高,说明模型的最优水平越高。
-
- 最小值(Minimum):最小值是指评估指标的结果的最小值,它可以反映模型的最差水平。最小值的计算公式为:
Minimum=min(x1,x2,...,xn)![]()
其中,xi是第i个评估指标的结果,n是评估指标的个数。最小值越低,说明模型的最差水平越低。
-
- 中位数(Median):中位数是指评估指标的结果的中间值,它可以反映模型的典型水平。中位数的计算方法为:

其中,xi是第i个评估指标的结果,n是评估指标的个数。中位数越高,说明模型的典型水平越高。
-
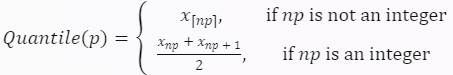
- 分位数(Quantile):分位数是指将评估指标的结果按照大小顺序分为若干等份,每一份的边界值,它可以反映模型的分布情况和差异性。分位数的计算方法为:

其中,xi是第i个评估指标的结果,n是评估指标的个数,p是分位数的百分比,⌈⋅⌉是向上取整的符号。分位数可以用来表示模型的最大值、最小值、中位数等,例如,Quantile(0)表示最小值,Quantile(0.5)表示中位数,Quantile(1)表示最大值。分位数越分散,说明模型的差异性越大。
- 相关性分析(Correlation Analysis):相关性分析是指用一些统计学的方法,对评估指标的结果之间的相关程度进行度量和检验,从而得出召回模型的相关特征和关系的一种方法,它可以反映模型的相关性和影响因素。相关性分析的常用的方法有以下几种:
- 协方差(Covariance):协方差是指两个评估指标的结果的离均差的乘积的平均值,它可以反映两个评估指标的结果的变化趋势和方向。协方差的计算公式为:
Covariance(x,y)=i=1n(xi-x)(yi-y)n
其中,xi是第i个评估指标x的结果,yi是第i个评估指标y的结果,xˉ是评估指标x的均值,yˉ是评估指标y的均值,n是评估指标的个数。协方差的符号可以表示两个评估指标的结果的相关方向,如果协方差为正,说明两个评估指标的结果正相关,即一个增加,另一个也增加;如果协方差为负,说明两个评估指标的结果负相关,即一个增加,另一个减少;如果协方差为零,说明两个评估指标的结果无相关,即一个的变化,不影响另一个的变化。协方差的绝对值可以表示两个评估指标的结果的相关程度,如果协方差的绝对值越大,说明两个评估指标的结果的相关程度越高;如果协方差的绝对值越小,说明两个评估指标的结果的相关程度越低。
-
- 相关系数(Correlation Coefficient):相关系数是指对协方差进行标准化处理,使其值在-1到1之间,从而消除评估指标的结果的量纲和范围的影响,得到两个评估指标的结果的无量纲的相关程度的一种方法,它可以反映两个评估指标的结果的相关强度和方向。相关系数的计算公式为:
CorrelationCoefficient(x,y)=Covariance(x,y)Variance(x)×Variance(y)
其中,Covariance(x,y)是评估指标x和评估指标y的结果的协方差,Variance(x)是评估指标x的结果的方差,Variance(y)是评估指标y的结果的方差。相关系数的符号可以表示两个评估指标的结果的相关方向,如果相关系数为正,说明两个评估指标的结果正相关,即一个增加,另一个也增加;如果相关系数为负,说明两个评估指标的结果负相关,即一个增加,另一个减少;如果相关系数为零,说明两个评估指标的结果无相关,即一个的变化,不影响另一个的变化。相关系数的绝对值可以表示两个评估指标的结果的相关强度,如果相关系数的绝对值越接近1,说明两个评估指标的结果的相关强度越高;如果相关系数的绝对值越接近0,说明两个评估指标的结果的相关强度越低。相关系数的常用的类型有皮尔逊相关系数(Pearson Correlation Coefficient)、斯皮尔曼相关系数(Spearman Correlation Coefficient)、肯德尔相关系数(Kendall Correlation Coefficient)等。
- 回归分析(Regression Analysis):回归分析是指用数学模型来描述评估指标的结果之间的因果关系和函数关系的方法,它可以反映模型的因果机制和影响因素。回归分析的优点是可以从评估指标的结果中,提取信息和知识,也可以进行预测和推断。回归分析的缺点是需要对数据和模型的因果结构和假设有判断,也需要选择方法和模型,进行拟合和检验。回归分析的常用的方法和模型有线性回归(Linear Regression)、逻辑回归(Logistic Regression)、多元回归(Multivariate Regression)等。

更多推荐


所有评论(0)