halcon 算子 gray_tophat
作用:使用结构元素对图像进行顶帽变换;顶帽变换定义:一副图像和它的开运算结果的差,称为顶帽变换;与顶帽对应的是底帽变换;底帽变换定义:一副图像的闭运算和这幅图像的差,称为黑帽变换;不管是顶帽还是底帽变换主要目的都是为了得到一个背景均匀的图像参数翻译(顺序对应以上参数顺序):输入图像、输入结构元素(可以使用gen_disc_se等算子来生成不同的结构元素)、输出变换后的图像描述:1、输入图像和输入的
·

作用:使用结构元素对图像进行顶帽变换;
顶帽变换定义:一副图像和它的开运算结果的差,称为顶帽变换;
与顶帽对应的是底帽变换;
底帽变换定义:一副图像的闭运算和这幅图像的差,称为黑帽变换;
不管是顶帽还是底帽变换主要目的都是为了得到一个背景均匀的图像

参数翻译(顺序对应以上参数顺序):
输入图像、
输入结构元素(可以使用gen_disc_se等算子来生成不同的结构元素)、
输出变换后的图像
描述:
1、输入图像和输入的结构元素的类型必须相同;
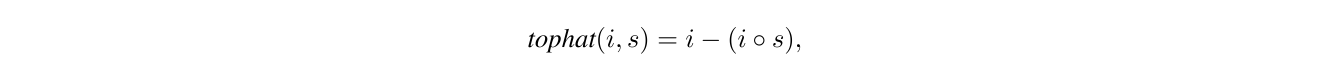
2、输入图像 i 和输入结构元素 s 的计算关系如下:

3、由上面公式可以看出,顶帽变换的定义:一副图像和它的开运算结果的差;
更多推荐



所有评论(0)